本文地址:https://www.qianwe.com/article/088a021de06c49b8ddd9.html
上一篇:SEO菜鸟论坛面向初学者的终极指南bseoch是... 下一篇:SEO优化大师班掌握提升网站排名和知名度的...
掌握医疗SEO的奥秘:提升您的医疗保健网站能见度 (掌握医疗数据的上市公司有哪些)
东莞企业跨境经营的秘密武器:海外网络推广指南 (东莞企业跨境电商公司)
揭秘高效的 App 推广技术,助力业务快速增长 (揭秘高效的结构化表达)
赋能企业形象,百度百科推广塑造权威专业品牌形象 (企业 赋能)
制定和实施全面的推广计划,以提高品牌知名度和客户参与度 (制定实施全国中药饮片炮制规范)
从头开始打造成功的怀化网络推广活动:全面指南 (从头开始打造自己一艘军舰)
巩义网站优化:让您的本地业务在网络世界中蓬勃发展 (巩义网站优化招聘网)
推动您的在线成功:解锁搜索引擎优化工具的强大功能
掌控网站设计:深入了解专为网站开发设计的软件工具 (掌控网站设计软件)
探索网站优化和推广的协同作用:打造高性能、广受欢迎的网站 (探索网站优化方案)
免费建站完整教程:创建你的在线形象,无需巨额投资 (免费建站的平台)
探索福州SEO服务:通过搜索引擎优化主宰数字领域并蓬勃发展 (探索福州漆艺与福州闽江之心的融合发展)
英语 SEO 精通:如何优化您的网站以获得全球竞争优势 (seo 英语)
揭秘搜索引擎优化 (SEO) 的奥秘:从初学者到专家的完整指南 (揭秘搜索引擎是什么)
推动业务增长:如何通过 SEO 和网络营销制定成功的网络营销策略 (推动业务增长英文)
PHP 权威参考资料 合集 (php权威指南)
深圳低压成套设备厂家
首页
UC浏览器官网
壹秀甄选
炎热财新网网
深圳搬家
酒店香氛
上海秋雨智能科技有限公司
泉州市洛江区图书馆
换热器管束设备防腐清洗
天津市河北区人民检察院
星汇网
上海郡是新包装有限公司
冠球生物科技(上海)有限公司
探索重庆SEO服务,优化您的网站以获得更高的排名和更多的潜在客户 (探索重庆三峡博物馆,巴人是如何起源的)
揭秘 SEO 基本原理:从关键词到链接构建 (seo基础知识)
市场推广战略:制定成功的宣传计划 (市场推广战略指的是什么)
革新网络营销:利用强大的推广软件释放您的业务潜力 (革新网络营销理念)
提升您的杭州品牌知名度:利用百度推广的强大力量
软文推广策略大全:如何通过内容建立品牌并推动转化 (软文推广策略包括哪些)
推动您的网站取得成功:在长沙找一家可靠的网站推广公司 (网站最有效推广的方式)
解锁深圳无与伦比的营销机遇:全面推广指南
优化您的长沙网站:提升排名,增加流量,实现业务增长 (长沙优化网站排名)
解锁海外ASO关键词的秘密:推动您的应用获得更多下载量和参与度 (解锁海外地域限制app)
企业建站一网打尽:各类网站类型全面解析 (企业建站网址)
百度指数专业版:深入挖掘市场趋势,制定精准营销策略 (百度指数专业手机版)
丹东 SEO 实战指南:一步步打造高排名的网站 (丹东seo外包)
从初学者到专家:全面掌握 SEO,为你的职业发展注入动力 (从初学者到专家的典型工作任务包括)
CSS 鼠标样式:自定义鼠标光标外观和行为 (css鼠标样式大全)
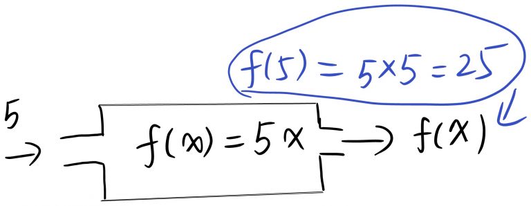
函数:理解和使用计算机中定义和调用的强大工具 (理解函数的概念需要理解哪几个要点)